| Sign In | Join Free | My benadorassociates.com |
|
Brand Name : CNP
Model Number : CDL
Certification : ISO/CCS
Place of Origin : China
MOQ : 1set
Payment Terms : L/C, T/T
Delivery Time : 75 Working Days
Packaging Details : Export Packing
Price : Negotiation
stage : Multistage
Protection class : IP55
Insulation class : F
Frequency : 50Hz
Type : Vertical
Model : CDL12-16
Jockey pump 50 / 60 hz Pressure Maintain Pump CDL Series Worked for Fire Fighting System
The jockey pump shall be used to maintain a constant water pressure inside the fire fighting ring main.
The jockey pump shall therefore automatically start on low pressure set point and shall stop once the
pressure has been raised to the normal operating pressure of the fire fighting system. The normal
operating pressure of the system shall be determined according to the rquirements of NFPA 20 and 24
In case where the jockey pump is not capable of maintaining the fire fighting main pressure (eg. in case
of opening of a fire hydrant during fire-fighting exercise) at the required set point, the fire fighting main
pump shall be triggered automatically to cater for the sudden drop and hence need for water. The latter
shall then be automatically switched off when the maximum operating pressure of the ring main is restored.
Specification:
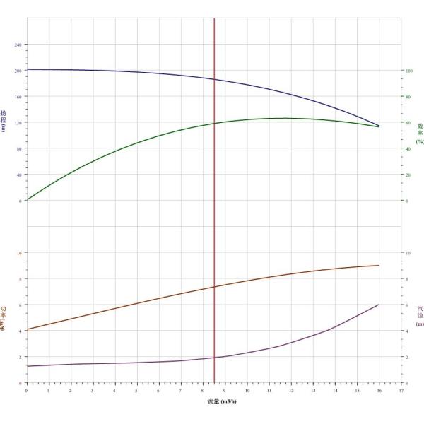
| Speed for pump data | 2900 rpm |
| Rated flow | 12 m³/ h |
| Flow range | 7~16 m³/ h |
| Rated head | 162m |
| Curve tolerance | ISO 9906 Annex A |
| Material | |
| DiffuserImpeller: | 304/316L |
| CDL Pump head Inlet and outlet chamber | HT200 |
| Code for rubber | NBR/EPDM |



CDL /CDLF Pump
CDL/CDLF is a kind of vertical non-self priming multistage contrifugal pump ,which is driven by a standard electric
motor.The motor output shaft directly connects with the pump shaft through a coupling.The pressure-resistant cylinder
and flow passage components are fixed between pump head and inlet & outlet section with stay bolts.The inlet and
outlet are located at the pump bottom at the same plane.This kind of pump can be equipped with an intelligent protector
to effectively prevent it from dry-running,out-of-phase and overload.
Operation conditions
Thin,clean,non-flammable and non-explosive liquid containing no solid granules and fibers.
Liquid temperature:
Ambient temperature:up to +40℃
Altitude:up to 1000m
| Before quotation,we need some basic information for selection & supply Scope : |
| 1:Parameters including head ,flow, altitude, temperature, voltage, frequency (A deduction of 3 % from engine horsepower rating at standard SAE conditions shall be made for diesel engines for each 1000ft(305m) altitude above ft.(91.4m) engine horsepower rating as corrected to standard SAE conditions shall be made for diesel engines for every 10°F(5.6℃)above 77°F(25 ℃)ambient temperature.) |
| 2. Scope of supply |
| 3. Special requirements (Brand requirement/ technical requirements on product function…) |
| 4.Listed or Non-listed products ? |

|
|
Jockey pump 50 / 60 hz Pressure Maintain Pump CDL Series Worked for Fire Fighting System Images |